参考文献:http://d.wanfangdata.com.cn/periodical/hkldjs200901007
在相位编码信号脉冲压缩技术中,存在着多普勒频率敏感性问题,需要对多普勒频率进行补偿.本文在分析多普勒敏感性原因的基础上,提出了一种补偿算法,该方法可以从根本上解决相位编码信号对多普勒频率的敏感性问题,并通过MATLAB仿真证明了这一算法的正确性与可行性.
以13位巴克码为例,仿真参数:ADC采样频率=40MHz,二相码的码元宽度0.2us,即一个码元采样8点,脉冲重复周期PRT为7.8us,脉冲重复频率PRF=1/PRT,MTD积累的脉冲周期数M=64,雷达工作波长2cm,多普勒频率=200kHz,因为,且脉冲周期数M=64,所以在DDC及MTD后出现在多普勒通道号为37的多普勒通道上,如图3所示(无噪声)。

图3 MTD结果
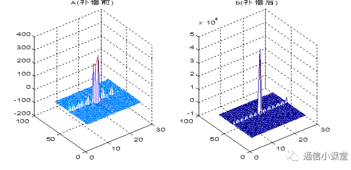
从图3可以看出,通过MTD,分离出不同速度的目标回波。但是多普勒频率仍然会给每个通道的脉压带来影响,如不进行补偿,则多普勒通道号为37的多普勒通道上的脉压结果见图4中左图,可见脉压结果非常糟糕,旁瓣过高,甚至有两个主瓣。最终处理的结果如图5中左图所示,这样的处理结果对目标的检测产生很大的影响。

a)补偿前脉压输出 b)补偿后脉压输出
图4 A通道上脉压对比图
若用新方法在MTD后对每个多普勒通道进行补偿后再脉压,多普勒通道号为A多普勒通道上的脉压结果如图4中右图所示,可以看出,经过补偿,多普勒频率已经被消除。那么最终处理的结果如图5中右图所示,这样的处理结果非常理想。

图5 补偿前后最终处理结果
仿真条件(fd=200kHz)相同,再分别对信噪比为SNR=0、SNR=10、SNR=20、SNR=30时的内插多普勒补偿后的脉压波形进行仿真,结果如图6所示。由以下这四个图我们可以很清晰的看出,随着信噪比的增大,补偿后的脉压特性越好。因此,这种方法在大信噪比的情况下可以对二相编码信号进行有效的多普勒补偿。
a)信噪比为0时补偿结果 b)信噪比为10时补偿结果

c)信噪比为20时补偿结果 d)信噪比为30时补偿结果
