在对密集异构蜂窝网的网络特性研究基础上着重介绍了目前已有的小区选择、基站开/关策略以及资源分配技术。并提出了现有技术的优势及存在的问题。
其次,针对密集异构蜂窝网络中各基站的发射功率与最大负载差异性,本文在综合考虑用户目标 SINR、负载均衡、网络中断概率等约束条件下提出基于能效的小区选择与基站开/关策略联合优化算法,并将该优化问题转换为两个子优化问题即基于流量均衡最优小区选择方案(CALB)与最优毫微微基站(FBSs)开/关策略(FAIS)。 接着,为了提升网络整体性能,使休眠基站能够快速被唤醒服务新用户,本文引入了多级基站睡眠模式,在综合考虑最小覆盖概率与最大平均时延约束条件下提出了一种基于能效优化的多级 FBSs 睡眠策略(OFSS),并通过求解 FBSs 在四种状态下的最优概率决定 FBSs 的睡眠策略。
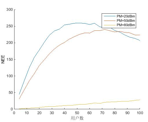
最后,为了进一步提升网络能效,针对当前网络负载与多级 FBSs 睡眠策略,本文提出了联合 FBSs 睡眠策略基于能效优化的资源分配算法(FSRA)。该能效优化问题是一个非凸的分式优化问题,本文将该分式非凸优化问题转换为一个等价的线性凸优化问题,并提出了一种基于能效优化的迭代算法求解该问题。仿真结果验证了该算法的有效性,且证明该算法不仅能保证基站最大发射功率与子信道最低传输速率约束条件,还能最大化网络的整体能效。
算法仿真结果



文献:链接: https://pan.baidu.com/s/1CDz9vmxuR5mHCspli_I-tA 提取码: ifwp