题目分析:
该题主要包括以下几部分内容:
光纤信道噪声建模和多级放大噪声建模
QAM调制和解调仿真
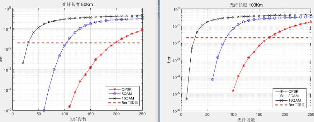
根据上述仿真结果,对光纤部署分布进行优化
提出一种新的调制星座图,8QAM,可以提供更好的PAPR性能和星座点间距性能
解题思路:
第一二部分是传统的光纤通信仿真,实现比较简单,找题目要求去实现就好了
第三部分是优化问题,而且只是单目标优化,采用遗传算法,蚁群算法、粒子群算法等都可以实现
第四部分是星座图优化,这种只是对星座图进行调整优化,没有难度只是性能问题。
仿真实现
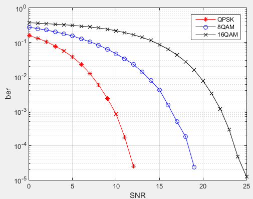
第一部分的基础仿真供大家参考(请勿照抄哦)第1-1部分是对三种调制方式进行仿真
第1-1部分是对三种调制方式进行仿真


第1-2部分是对光纤信道的噪声进行建模

第二部分第一小题
采用遗传算法进行优化


第二部分第三题的我觉得可以约束(惩罚函数方式实现)+多目标优化(NSGAII算法)
NSGAII算法链接:https://pan.baidu.com/s/1bU3_G47v3z5kZne_akT7zw 密码:rzw4
(感觉第三问比较有趣,我不想做第三题直接去看,这题大家可以自己试试)
第三部分:
是对星座图的优化,采用遗传算法,想要看到结果请直接下载代码。
代码下载:链接:https://pan.baidu.com/s/1rexui2pWAMHRRPZcRC-qZw
提取码:w085
解压密码获取:
